βshortの自堕落Diary

web関係や、プログラミングなどを扱う予定です。プランなど立てていないので、不定期投稿になります。

2017-09-05から1日間の記事一覧

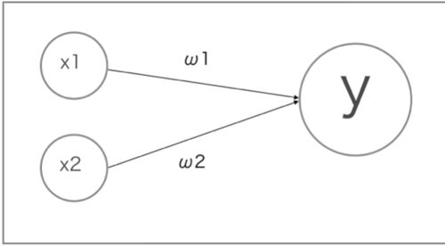
Perceptron

パーセプトロン(Perceptron)は、ニューラルネットワークの起源となるアルゴリズムである。 1958年フランク・ローゼンブラット(Franc Rosenblatt)によって作成された、パターン認識アルゴリズムである。 パーセプトロンの信号は、「流すor流さない」の1 or …